Trofimov reaction

Trofimov reaction
Named after Boris Trofimov
Reaction type Ring forming reaction

In organic chemistry, the Trofimov reaction is a reaction used to synthesize 2,3-disubstituted pyrroles from ketoximes and acetylene using the superbase medium potassium hydroxide and dimethyl sulfoxide. The reaction is named after Boris Trofimov who first reported it in the 1970's.[1]

Mechanism

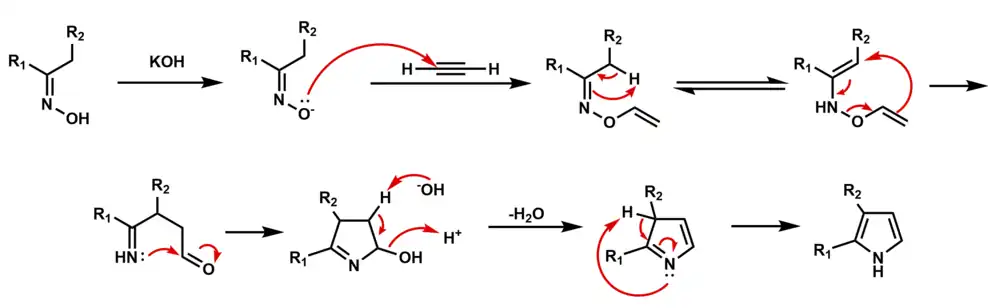
The mechanism begins with the deprotonation of the ketoxime by potassium hydroxide. The negative charge on the oxygen can then attack the acetylene. This forms the O-vinylketoxime which can tautomerize to a vinyl hydroxylamine. The molecule then undergoes a [3,3]-sigmatropic rearrangement to from an aldehyde-imine intermediate. The lone pair on the imine can then attack the carbonyl. Water is then lost forming an alkene. The final pyrrole is then formed by a [1,3] sigmatropic rearrangement.[2]

Synthetic Applications

The Trofimov reaction is a powerful reaction for building pyrroles in total synthesis. The starting ketoxime can be prepared simply by condensing hydroxylamine on a ketone. Starting from a ketone allows for a wide range of starting materials as ketones are one of the most common functional groups in organic chemistry. The condensation reaction can be shown below:

After the condensation, the pyrrole formation can proceed as normal.

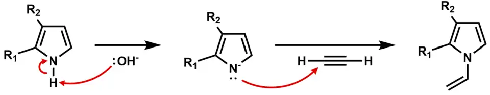
The Trofimov reaction can produce both N-H and N-vinyl pyrroles depending on the reaction conditions used. The N-vinyl pyrrole can be formed by the deprotonation of the pyrrole nitrogen which then attacks a second acetylene molecule. In general, higher temperatures, pressures, and higher concentrations of base favor the formation of the N-vinyl product.[3]

Examples

The Trofimov reaction was used to build N-vinylpyrrolocholestene. Starting from 5-Cholesten-3-one, hydroxylamine was condensed onto the ketone, forming the intermediate ketoxime. The ketoxime was then reacted with KOH and acetylene in DMSO at high temperature and pressure. Only one regioisomer was observed. In this case, the reaction conditions were sufficient to form the N-vinyl pyrrole[4]

2-mesityl-3-methylpyrrole was synthesized in 2004 via the Trofimov reaction. The reaction of the ketoxime with acetylene yielded a mixture of products with the primary one being the N-H pyrrole. Small amounts of the N-vinyl product were also observed as well as O-vinylketoxime. The N-vinyl product was then used in the synthesis of a new BODIPY.[5]

Variations

In 2005 a version of the Trofimov reaction was reported where both the hydroxylamine condensation and pyrrole formation occur in one pot. This variation uses the hydroxylamine HCl salt rather than hydroxylamine and sodium bicarbonate to perform the condensation onto a ketone. After the condensation, the reaction is warmed to 100 °C and the atmosphere in the flask is changed to acetylene. KOH is then added to form the pyrrole.[6]

References

  1. ^ Trofimov, Boris A (1981-02-28). "Reactions of Acetylene in Superbasic Media". Russian Chemical Reviews. 50 (2): 138–150. Bibcode:1981RuCRv..50..138T. doi:10.1070/RC1981v050n02ABEH002551. ISSN 0036-021X. S2CID 250826279.
  2. ^ Voronin, Vladimir V.; Ledovskaya, Maria S.; Bogachenkov, Alexander S.; Rodygin, Konstantin S.; Ananikov, Valentine P. (October 2018). "Acetylene in Organic Synthesis: Recent Progress and New Uses". Molecules. 23 (10): 2442. doi:10.3390/molecules23102442. ISSN 1420-3049. PMC 6222752. PMID 30250005.
  3. ^ Petrova, O. V.; Sobenina, L. N.; Mikhaleva, A. I. (2013-02-01). "3-Alkyl-2-phenyl-1-vinylpyrroles from ketoximes and acetylene: an improved synthesis by the Trofimov reaction". Chemistry of Heterocyclic Compounds. 48 (11): 1628–1633. doi:10.1007/s10593-013-1184-6. ISSN 1573-8353. S2CID 95336900.
  4. ^ Vasil'tsov, A. M.; Zaitsev, A. B.; Mikhaleva, A. I.; Shmidt, E. Yu.; Afonin, A. V. (2010-05-19). "ChemInform Abstract: Anellation of the Pyrrole to the Steroid Skeleton Using the Trofimov Reaction". ChemInform. 33 (41): no. doi:10.1002/chin.200241189. ISSN 0931-7597.
  5. ^ Zaitsev, Alexey B.; Méallet-Renault, Rachel; Schmidt, Elena Yu.; Mikhaleva, Al'bina I.; Badré, Sophie; Dumas, Cécile; Vasil'tsov, Alexander M.; Zorina, Nadezhda V.; Pansu, Robert B. (March 2005). "Synthesis of 2-mesityl-3-methylpyrrole via the Trofimov reaction for a new BODIPY with hindered internal rotation". Tetrahedron. 61 (10): 2683–2688. doi:10.1016/j.tet.2005.01.065. ISSN 0040-4020.
  6. ^ Schmidt, Elena Yu.; Mikhaleva, Al’bina I.; Vasil’tsov, Alexander M.; Zaitsev, Alexey B.; Zorina, Nadezhda V. (2005-01-08). "A straightforward synthesis of pyrroles from ketones and acetylene: a one-pot version of the Trofimov reaction". Arkivoc. 2005 (7): 11–17. doi:10.3998/ark.5550190.0006.702. hdl:2027/spo.5550190.0006.702. ISSN 1551-7012.