Skattebøl rearrangement
The Skattebøl rearrangement is an organic reaction for converting a geminal dihalo cyclopropane to an allene using an organolithium base.[1][2] This rearrangement reaction is named after its discoverer, Lars Skattebøl, Professor emeritus at the University of Oslo. It proceeds through a carbene reaction intermediate:

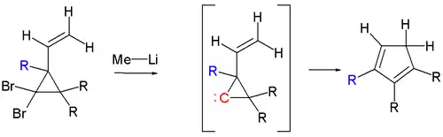
When the cyclopropane ring is fitted with a 2-vinyl group, a cyclopentadiene is formed through a so-called foiled carbene intermediate.[3][4] This process is more generally known as a vinylcyclopropane rearrangement.

The reaction is closely related to the earlier Doering-LaFlamme procedure (Doering–LaFlamme allene synthesis), in which a gem-dibromocyclopropane is treated with an alkali metal to form the same cyclopropylidene intermediate.
References
- ^ Moore, William R.; Ward, Harold R. (December 1962). "The Formation of Allenes from gem-Dihalocyclopropanes by Reaction with Alkyllithium Reagents 1,2". The Journal of Organic Chemistry. 27 (12): 4179–4181. doi:10.1021/jo01059a013.
- ^ Skattebøl, Lars (September 1966). "Chemistry of gem-Dihalocyclopropanes. V. 1 Formation of Tricyclo[4.1.0.0 4,6 ]heptane and Derivatives". The Journal of Organic Chemistry. 31 (9): 2789–2794. doi:10.1021/jo01347a014.
- ^ Skattebøl, Lars (January 1967). "Chemistry of gem-dihalocyclopropanes—VI". Tetrahedron. 23 (3): 1107–1117. doi:10.1016/0040-4020(67)85060-9.
- ^ Paquette, Leo A.; McLaughlin, Mark L. (1960). "Cyclopentadiene annulation via the Skattebøl rearrangement: (1R)-9,9-Dimethyltricyclo-[6.1.1.02,6]deca-2,5-diene". Organic Syntheses. 68: 220. doi:10.15227/orgsyn.068.0220; Collected Volumes, vol. 8, p. 223.