Ranimustine

Ranimustine
Clinical data
Trade namesCymerin
Other names1-(2-chloroethyl)-1-nitroso-3-([(2R,3S,4S,5R,6S)-3,4,5-trihydroxy-6-methoxyoxan-2-yl]methyl)urea
AHFS/Drugs.comInternational Drug Names
Routes of
administration
IV
ATC code
Legal status
Legal status
  • In general: ℞ (Prescription only)
Identifiers
  • Methyl 6-({[(2-chloroethyl)(nitroso)amino]carbonyl}amino)-6-deoxy-α-D-glucopyranoside
CAS Number
PubChem CID
ChemSpider
UNII
CompTox Dashboard (EPA)
Chemical and physical data
FormulaC10H18ClN3O7
Molar mass327.72 g·mol−1
3D model (JSmol)
  • CO[C@@H]1[C@@H]([C@H]([C@@H]([C@H](O1)CNC(=O)N(CCCl)N=O)O)O)O
  • InChI=1S/C10H18ClN3O7/c1-20-9-8(17)7(16)6(15)5(21-9)4-12-10(18)14(13-19)3-2-11/h5-9,15-17H,2-4H2,1H3,(H,12,18)/t5-,6-,7+,8-,9+/m1/s1
  • Key:AHHFEZNOXOZZQA-ZEBDFXRSSA-N
  (verify)

Ranimustine (INN, marketed under the tradename Cymerin; also known as MCNU) is a nitrosourea alkylating agent approved in Japan for the treatment of chronic myelogenous leukemia[1] and polycythemia vera.[2]

It has never been filed for FDA evaluation in the United States, where it is not marketed.

Synthesis

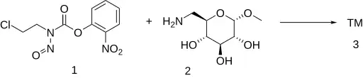
Ranimustine is made by reacting the primary amine of a pyranose sugar (2) with o-nitrophenyl N-(2-chloroethyl)-N-nitrosocarbamate (1) to form the nitrosourea group.[3] [4]

References

  1. ^ Kitajima K, Adachi T, Takahashi I, Nakada H, Osada K, Fukuda S, et al. (November 1989). "[Chemotherapy of chronic myelogenous leukemia--VP(M) regimen initiated during its chronic phase, and evaluation of MCNU in the phase of blastic crisis]". Gan to Kagaku Ryoho. Cancer & Chemotherapy (in Japanese). 16 (11): 3573–3579. PMID 2817908.
  2. ^ Nagai M, Tasaka T, Kamano H, Ohnishi H, Taoka T, Ikeda K, et al. (December 1988). "[Therapeutic effect of ranimustine (MCNU) on essential thrombocythemia and polycythemia vera]". Gan to Kagaku Ryoho. Cancer & Chemotherapy (in Japanese). 15 (12): 3267–3270. PMID 3196045.
  3. ^ US patent 4156777, Goro Kimura, "Process for producing glucopyranose-nitrosourea compounds and novel compounds included therein", issued 1979-05-29, assigned to Tokyo Tanabe Co Ltd 
  4. ^ Sosnovsky G, Rao NU (July 1991). "In the search for new anticancer drugs. XXIII: Exploration of a predictive design for anticancer drugs of carbohydrates containing N-nitrosochloroethylamino, N-nitrosomethyl, and N-nitrosoaminoxyl components". Journal of Pharmaceutical Sciences. 80 (7): 693–699. doi:10.1002/jps.2600800717. PMID 1658297.