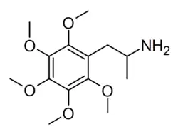
Pentamethoxyamphetamine
![]() | |
| Clinical data | |
|---|---|
| Other names | PeMA; 2,3,4,5,6-Pentamethoxyamphetamine; 2,3,4,5,6-PeMA |
| ATC code |
|
| Identifiers | |
| |
| CAS Number | |
| PubChem CID | |
| Chemical and physical data | |
| Formula | C14H23NO5 |
| Molar mass | 285.340 g·mol−1 |
| 3D model (JSmol) | |
| |
| |
Pentamethoxyamphetamine (PeMA), also known as 2,3,4,5,6-pentamethoxyamphetamine (2,3,4,5,6-PeMA), is a chemical compound of the phenethylamine and amphetamine families related to the psychedelic drug mescaline (3,4,5-trimethoxyphenethylamine).[1][2] It is the α-methyl or amphetamine derivative of pentamethoxyphenethylamine (PeMPEA).[1][2] The compound does not seem to have been tested in animals or humans.[1][2] However, the related drug PeMPEA is known to be behaviorally active in animal studies.[1][3] PeMA was first described in the scientific literature by Alexander Shulgin by 1969.[2]
See also
- Substituted methoxyphenethylamine
- Pentamethoxyphenethylamine
- Tetramethoxyamphetamine
- Tetramethoxyphenethylamine
- Trimethoxyamphetamine
- Dimethoxymethylenedioxyamphetamine
References
- ^ a b c d Shulgin A, Manning T, Daley PF (2011). "#108. PeMPEA". The Shulgin Index, Volume One: Psychedelic Phenethylamines and Related Compounds. Vol. 1. Berkeley, CA: Transform Press. pp. 263–264. ISBN 978-0-9630096-3-0. OCLC 709667010.
- ^ a b c d Shulgin AT, Sargent T, Naranjo C (1969). "Structure–Activity Relationships of One-Ring Psychotomimetics". Nature. 221 (5180): 537–541. doi:10.1038/221537a0. ISSN 0028-0836. PMID 5789297.
- ^ Brimblecombe RW, Pinder RM (1975). "Phenylalkylamines and Their Derivatives". Hallucinogenic Agents. Bristol: Wright-Scientechnica. pp. 55–97.
Table 3.2.—Relative Hallucinogenic Potencies of Some Phenylethylamines [...]
External links
