o-Toluidine

o-Toluidine
Names
Preferred IUPAC name
2-Methylaniline[1]
Other names
o-Methylaniline
o-Toluidine
1-Amino-2-methylbenzene
2-Aminotoluene, 2-Toluamine
Identifiers
ChEBI
ChEMBL
ChemSpider
ECHA InfoCard 100.002.209
KEGG
UNII
Properties
C7H9N
Molar mass 107.156 g·mol−1
Appearance Colorless liquid
Odor Aromatic, aniline-like odor
Density 1.004 g/cm3
Melting point −23.68 °C (−10.62 °F; 249.47 K)
Boiling point 200 to 202 °C (392 to 396 °F; 473 to 475 K)
0.19 g/100 ml at 20 °C
Vapor pressure 0.307531 mmHg (25 °C)
1.56987
Viscosity 4.4335 (20 °C)
Hazards
Occupational safety and health (OHS/OSH):
Main hazards
Flammable, moderately toxic
GHS labelling:
GHS02: FlammableGHS06: ToxicGHS07: Exclamation markGHS08: Health hazardGHS09: Environmental hazard
Danger
H301, H302, H319, H331, H350, H400
P201, P202, P261, P264, P270, P271, P273, P280, P281, P301+P310, P304+P340, P305+P351+P338, P308+P313, P311, P321, P330, P337+P313, P391, P403+P233, P405, P501
NFPA 704 (fire diamond)
NFPA 704 four-colored diamondHealth 3: Short exposure could cause serious temporary or residual injury. E.g. chlorine gasFlammability 2: Must be moderately heated or exposed to relatively high ambient temperature before ignition can occur. Flash point between 38 and 93 °C (100 and 200 °F). E.g. diesel fuelInstability 0: Normally stable, even under fire exposure conditions, and is not reactive with water. E.g. liquid nitrogenSpecial hazards (white): no code
3
2
0
Flash point 85 °C (185 °F; 358 K)
481.67 °C (899.01 °F; 754.82 K)
Lethal dose or concentration (LD, LC):
900 mg/kg (rat, oral)
323 mg/kg (rabbit, oral)
Related compounds
Related compounds
Toluidine
Except where otherwise noted, data are given for materials in their standard state (at 25 °C [77 °F], 100 kPa).
Infobox references

o-Toluidine (ortho-toluidine) is an organic compound with the chemical formula CH3C6H4NH2. It is the most important of the three isomeric toluidines. It is a colorless liquid although commercial samples are often yellowish. It is a precursor to the herbicides metolachlor and acetochlor.[2]

Synthesis and reactions

o-Toluidine is produced industrially by nitration of toluene to give a mixture of nitrotoluenes, favoring the ortho isomer. This mixture is separated by distillation. 2-Nitrotoluene is hydrogenated to give o-toluidine.[2]

The conversion of o-toluidine to the diazonium salt gives access to the 2-bromo, 2-cyano-, and 2-chlorotoluene derivatives.[3] [4] [5] N-acetylation is also demonstrated.[6]

Safety

The LD50 (oral, rats) is 670 mg/kg.[2]

Binding of hemoglobin

o-Nitrosotoluene, a metabolite of o-toluidine, converts hemoglobin to methemoglobin, resulting in methemoglobinemia.[7][8][9]

o-Nitrosotoluene is suspected of causing bladder cancer in rats.[10][11][12] Nitrosotoluene exposure has been researched in a number of different degrees in animals.[13][14][15][16]

Carcinogenicity

In the U.S., o-toluidine was first listed in the Third Annual Report on Carcinogens as 'reasonably anticipated to be a human carcinogen' in 1983, based on sufficient evidence from studies in experimental animals. The Report on Carcinogens (RoC) is a U.S. congressionally-mandated, science-based public health report that identifies agents, substances, mixtures, or exposures in the environment that pose a hazard to people residing in the United States[17] Since then, other cancer related studies have been published and the listing of o-toluidine was changed to 'known to be a human carcinogen'. o-toluidine was especially linked to bladder cancer. This was done 31 years later in the Thirteenth Report on Carcinogens (2014).[14] The International Agency for Research on Cancer (IARC) has classified o-toluidine as 'carcinogenic to humans (group 1)'.[18]

Metabolism

o-Toluidine is absorbed through inhalation and dermal contact as well as from the gastrointestinal tract.[19][13][20][21]

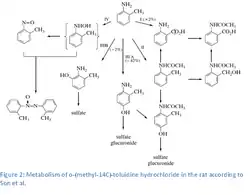
The metabolism of o-toluidine involves many competing activating and deactivating pathways, including N-acetylation, N-oxidation, and N-hydroxylation, and ring oxidation.[22] 4-Hydroxylation and N-acetylation of toluidine are the major metabolic pathways in rats. The primary metabolism of o-toluidine takes place in the endoplasmic reticulum. Exposure to o-toluidine enhances the microsomal activity of aryl hydrocarbon hydroxylase (particularly in the kidney), NADPH-cytochrome c reductase and the content of cytochrome P-450. Cytochrome P450–mediated N-hydroxylation to N-hydroxy-o-toluidine, a carcinogenic metabolite, occurs in the liver. N-Hydroxy-o-toluidine can be either metabolized to o-nitrosotoluene or conjugated with glucuronic acid or sulfate and transported to the urinary bladder via the blood. Once in the bladder, N-hydroxy-o-toluidine can be released from the conjugates in an acidic urine environment to either react directly with DNA or be bio-activated via sulfation or acetylation by cytosolic sulfotransferases or N-acetyltransferases (presumably NAT1).[14] The postulated activated form (based on comparison with other aromatic amines), N-acetoxy-o-toluidine, is a reactive ester that forms electrophilic arylnitrenium ions that can bind to DNA.[22][23][10] Other activation pathways (ring-oxidation pathways) for aromatic amines include peroxidase-catalyzed reactions that form reactive metabolites (quinone-imines formed from nonconjugated phenolic metabolites) in the bladder. These metabolites can produce reactive oxygen species, resulting in oxidative cellular damage and compensatory cell proliferation. Support for this mechanism comes from studies of oxidative DNA damage induced by o-toluidine metabolites in cultured human cells (HL-60), calf thymus DNA, and DNA fragments from key genes thought to be involved in carcinogenesis (the c-Ha-ras oncogene and the p53 tumor-suppressor gene).[24][25] Also supporting this mechanism are observations of o-toluidine-induced DNA damage (strand breaks) in cultured human bladder cells and bladder cells from rats and mice exposed in vivo to o-toluidine.[26][27]

Figure 1: Metabolism of o-(methyl-14C)-toluidine hydrochloride in the rat.

Excretion

The main excretion pathway is through the urine where up to one-third of the administered compound was recovered unchanged. Major metabolites are 4-amino-m-cresol and to a lesser extent, N-acetyl-4-amino-m-cresol,[20] azoxytoluene, o-nitrosotoluene, N-acetyl-o-toluidine, N-acetyl-o-aminobenzyl alcohol, anthranilic acid, N-acetyl-anthranilic acid, 2-amino-m-cresol, p-hydroxy-o-toluidine. Conjugates that were formed were predominated by sulfate conjugates over glucuronide conjugates by a ratio of 6:1.

Prilocaine, an amino amide-type local anesthetic, yields o-toluidine when metabolized by carboxylesterase enzymes.[28] Large prilocaine doses can cause methemoglobinemia due to oxidation of hemoglobin by o-toluidine.[29]

Drugs List

  1. Aptocaine
  2. Asulacrine
  3. Dazepinil
  4. Methaqualone
  5. Metolazone
  6. Prilocaine
  7. Quatacaine (Tanacaine)

References

  1. ^ Nomenclature of Organic Chemistry: IUPAC Recommendations and Preferred Names 2013 (Blue Book). Cambridge: The Royal Society of Chemistry. 2014. p. 669. doi:10.1039/9781849733069-FP001. ISBN 978-0-85404-182-4. The names 'toluidine', 'anisidine', and 'phenetidine' for which o-, m-, and p- have been used to distinguish isomers, and 'xylidine' for which numerical locants, such as 2,3-, have been used, are no longer recommended, nor are the corresponding prefixes 'toluidine', 'anisidino', 'phenetidine', and 'xylidino'.
  2. ^ a b c Bowers, Joseph S. "Toluidines". Ullmann's Encyclopedia of Industrial Chemistry. Weinheim: Wiley-VCH. doi:10.1002/14356007.a27_159. ISBN 978-3-527-30673-2.
  3. ^ H. T. Clarke; R. R. Read (1925). "o-Tolunitrile and p-Tolunitrile". Org. Synth. 4: 69. doi:10.15227/orgsyn.004.0069.
  4. ^ L. A. Bigelow (1929). "o-Bromotoluene". Org. Synth. 9: 22. doi:10.15227/orgsyn.009.0022.
  5. ^ C. S. Marvel; S. M. McElvain (1923). "o-Chlorotoluene and p-Chlorotoluene". Org. Synth. 3: 33. doi:10.15227/orgsyn.003.0033.
  6. ^ Rolf Huisgen; Klaus Bast (1962). "Indazole". Org. Synth. 42: 69. doi:10.15227/orgsyn.042.0069.
  7. ^ Hazardous Substances Data Bank (HSDB, online database). National Toxicology Information Program. National Library of Medicine, Bethesda, MD: U.S. Department of Health and Human Services. 1997.
  8. ^ Clayton, G. D.; Clayton, F. E., eds. (1981). Patty's Industrial Hygiene and Toxicology. Vol. 2A (3rd rev. ed.). New York: John Wiley & Sons.
  9. ^ Birnier, G.; Neumann, H. (1988). "Biomonitoring of aromatic amines. II: Haemoglobin binding of some monocyclic aromatic amines". Arch. Toxicol. 62 (2–3): 110–115. doi:10.1007/BF00570128. PMID 3196145. S2CID 33391149.
  10. ^ a b English, J. C.; Bhat, V. S.; Ball, G. L.; C. J., McLellan (2012). "Establishing a total allowable concentration of o-toluidine in drinking water incorporating early lifestage exposure and susceptibility". Regul. Toxicol. Pharmacol. 64 (2): 269–284. doi:10.1016/j.yrtph.2012.08.011. PMID 22940434.
  11. ^ Eyer, P. (1983). "The Red Cell as a Sensitive Target for Activated Toxic Arylamines". Toxicology in the Use, Misuse, and Abuse of Food, Drugs, and Chemicals. Archives of Toxicology, Supplement. Vol. 6. pp. 3–12. doi:10.1007/978-3-642-69083-9_1. ISBN 978-3-540-12392-7. PMID 6578736.
  12. ^ Hecht, S. S.; El-Bayoumy, K.; Rivenson, A.; Fiala, E. (1983). "Bioassay for carcinogenicity of 1,2-dimethyl-4-nitrosobiphenyl, o-nitrosotoluene, nitrosobenzene and the corresponding amines in Syrian golden hamsters". Cancer Lett. 20 (3): 349–354. doi:10.1016/0304-3835(83)90034-4. PMID 6627231.
  13. ^ a b Hiles, R. C.; Abdo, K. M. (1990). "5. ortho-Toluidine". In Buhler, D. R.; Reed, D. J. (eds.). Nitrogen and Phosphorus Solvents (2nd ed.). Elsevier. pp. 202–207.
  14. ^ a b c "o-Toluidine" (PDF). Report on Carcinogens (13th ed.). US National Institute of Health.
  15. ^ Gregg, N.; et al. (1998). o-Toluidine. World Health Organization. pp. 5–22. ISBN 92-4-153007-3. (NLM classification: QV 235.)
  16. ^ Rubino, G. F.; Scansetti, G.; Piolatto, G.; Fira, E. (1982). "The carcinogenic effect of aromatic amines: An epidemiological study on the role of o-toluidine and 4,4′-methylenebis(2-methylaniline) in inducing bladder cancer in man". Env. Res. 27 (2): 241–254. Bibcode:1982ER.....27..241R. doi:10.1016/0013-9351(82)90079-2. PMID 7084156.
  17. ^ Burwell, S. M. (2014). Report on Carcinogens (13th ed.).
  18. ^ IARC Monographs. Retrieved 2016-06-13. {{cite book}}: |website= ignored (help)
  19. ^ Cheever, K.; Richards, D.; Plotnick, H. (1980). "Metabolism of o-, m- and p-toluidine in the adult male rat". Toxicol. Appl. Pharmacol. 56 (3): 361–369. doi:10.1016/0041-008x(80)90069-1. PMID 7222020.
  20. ^ a b Son, O. S.; Everett, D. W.; Fiala, E. S. (1980). "Metabolism of o-[methyl-14C]toluidine in the F344 rat". Xenobiotica. 10 (7–8): 457–468. doi:10.3109/00498258009033781. PMID 7445517.
  21. ^ Brock, W. J.; Hundley, S. G.; Lieder, P. H. (1990). "Hepatic macromolecular binding and tissue distribution of ortho- and para-toluidine in rats". Toxicol. Lett. 54 (2–3): 317–325. doi:10.1016/0378-4274(90)90199-v. PMID 1701932.
  22. ^ a b Riedel, K.; Scherer, G.; Engl, J.; Hagedorn, H. W.; Tricker, A. R. (2006). "Determination of three carcinogenic aromatic amines in urine of smokers and nonsmokers". J. Anal. Toxicol. 30 (3): 187–195. doi:10.1093/jat/30.3.187. PMID 16803653.
  23. ^ Kadlubar, F. F.; Badawi, A. F. (1995). "Genetic susceptibility and carcinogen-DNA adduct formation in human urinary bladder carcinogenesis". Toxicol. Lett. 82–83: 627–632. doi:10.1016/0378-4274(95)03507-9. PMID 8597119.
  24. ^ Ohkuma, Y. Y.; Hiraku, S.; Oikawa, S.; Yamashita, N.; Murata, M.; Kawanishi, S. (1999). "Distinct mechanisms of oxidative DNA damage by two metabolites of carcinogenic o-toluidine". Arch. Biochem. Biophys. 372 (1): 97–106. doi:10.1006/abbi.1999.1461. PMID 10562421.
  25. ^ Watanabe, C; Egami, T; Midorikawa, K.; Hiraku, Y.; Oikawa, S.; Kawanishi, S; Murata, M. (2010). "DNA damage and estrogenic activity induced by the environmental pollutant 2-nitrotoluene and its metabolite". Environ. Health Prev. Med. 15 (5): 319–326. doi:10.1007/s12199-010-0146-1. PMC 2921039. PMID 21432561.
  26. ^ Robbiano, L.; Carrozzino, R.; Bacigalupo, M.; Corbu, C.; Brambilla, G. (2002). "Correlation between induction of DNA fragmentation in urinary bladder cells from rats and humans and tissue-specific carcinogenic activity". Toxicology. 179 (1–2): 115–128. doi:10.1016/s0300-483x(02)00354-2. PMID 12204548.
  27. ^ Sekihashi, K.; Yamamoto, A.; Matsumura, Y.; Ueno, S.; Watanabe-Akanuma, M.; Kassie, F; Knasmuller, S.; Tsuda, S.; Sasaki, Y. F. (2002). "Comparative investigation of multiple organs of mice and rats in the comet assay". Mutat. Res. 517 (1–2): 53–75. doi:10.1016/s1383-5718(02)00034-7. PMID 12034309.
  28. ^ Ryota Higuchi; Tatsuki Fukami; Miki Nakajima; Tsuyoshi Yokoi (2013). "Prilocaine- and Lidocaine-Induced Methemoglobinemia Is Caused by Human Carboxylesterase-, CYP2E1-, and CYP3A4-Mediated Metabolic Activation". Drug Metab. Dispos. 41 (6): 1220–1230. doi:10.1124/dmd.113.051714. PMID 23530020. S2CID 9741909.
  29. ^ Medetalibeyoğlu A.; Koç E.S.; Beyaz O.; Edizer A. (2020). "Prilocaine-Induced Methemoglobinemia". Case Rep. Acute Med. 3 (2): 25-28. doi:10.1159/000508403.