Indoprofen

Indoprofen
Clinical data
Routes of
administration
Oral
ATC code
Legal status
Legal status
  • Withdrawn
Pharmacokinetic data
BioavailabilityHigh (rapid and complete absorption)
MetabolismGlucuronidation
Elimination half-life2.3 hours
ExcretionRenal
Identifiers
  • 2-[4-(1-oxo-1,3-dihydro-2H-isoindol-2-yl)
    phenyl]propanoic acid
CAS Number
PubChem CID
DrugBank
ChemSpider
UNII
KEGG
ChEBI
ChEMBL
CompTox Dashboard (EPA)
ECHA InfoCard100.046.197
Chemical and physical data
FormulaC17H15NO3
Molar mass281.311 g·mol−1
3D model (JSmol)
  • O=C(O)C(c1ccc(cc1)N3C(=O)c2ccccc2C3)C
  • InChI=1S/C17H15NO3/c1-11(17(20)21)12-6-8-14(9-7-12)18-10-13-4-2-3-5-15(13)16(18)19/h2-9,11H,10H2,1H3,(H,20,21) checkY
  • Key:RJMIEHBSYVWVIN-UHFFFAOYSA-N checkY

Indoprofen is a nonsteroidal anti-inflammatory drug (NSAID). It was withdrawn worldwide in the 1980s after postmarketing reports of severe gastrointestinal bleeding.[1]

A 2004 study using high-throughput screening found indoprofen to increase production of the survival of motor neuron protein, suggesting it may provide insight into treatments for spinal muscular atrophies.[1][2]

Synthesis

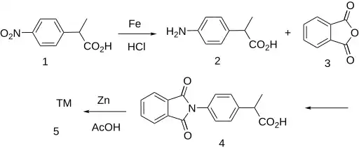
The isoindolone ring system forms the nucleus for this profen NSAID.

The nitro group in 2-(4-nitrophenyl)propionic acid (1) is reduced using iron and hydrochloric acid to give 2-(4-aminophenyl)propionic acid (2). Reaction with phthalic anhydride then gives the phthalimide (4). Treatment with zinc in acetic acid yields indoprofen after reduction of one of the amide groups.[3][4][5]

See also

References

  1. ^ a b Frazin N (March 9, 2005). "Pain Reliever May Provide Clues for Treating Spinal Muscular Atrophy". United States National Institute of Neurological Disorders and Stroke. Archived from the original on 2008-07-04. Retrieved 2007-10-06.
  2. ^ Lunn MR, Root DE, Martino AM, Flaherty SP, Kelley BP, Coovert DD, et al. (November 2004). "Indoprofen upregulates the survival motor neuron protein through a cyclooxygenase-independent mechanism". Chemistry & Biology. 11 (11): 1489–93. doi:10.1016/j.chembiol.2004.08.024. PMC 3160629. PMID 15555999.
  3. ^ US patent 4316850, Richard W. J. Carney and George de Stevens, "Tertiary aminoacids", issued 1982-02-23, assigned to Ciba Geigy Corp 
  4. ^ Nannini G, Giraldi PN, Molgora G, Biasoli G, Spinelli F, Logemann W, et al. (August 1973). "New analgesic-anti-inflammatory drugs. 1-Oxo-2-substituted isoindoline derivatives". Arzneimittel-Forschung. 23 (8): 1090–100. doi:10.1002/chin.197344288. PMID 4801034.
  5. ^ "Indoprofen". Pharmaceutical Substances. Thieme. Retrieved 2024-07-11.