History of the SAT

The SAT is a standardized test commonly used for the purpose of admission to colleges and universities in the United States. The test, owned by the College Board and originally developed by Carl Brigham, was first administered on June 23, 1926, to about 8,000 students. The test was introduced as a supplement to the College Board essay exams already in use for college admissions, but ease of administration of the SAT and other factors led to the discontinuation of the essay exams [1] during World War II. The SAT has since gone through numerous changes in content, duration, scoring, and name; the test was taken by more than 1.97 million students in the graduating high school class of 2024.[2]

Origins and overview

Mean SAT scores of college-bound seniors[3][4][5][6][7][8][9]
All Male Female
Class
year
Reading
/Verbal
Score
Math
Score
Reading
/Verbal
Score
Math
Score
Reading
/Verbal
Score
Math
Score
1972 530 509 531 527 529 489
1973 523 506 523 525 521 389
1974 521 505 524 524 520 488
1975 512 498 515 518 509 479
1976 509 497 511 520 508 475
1977 507 496 509 520 505 474
1978 507 494 511 517 503 474
1979 505 493 509 516 501 473
1980 502 492 506 515 498 473
1981 502 492 508 516 496 473
1982 504 493 509 516 499 473
1983 503 494 508 515 498 474
1984 504 497 511 518 598 478
1985 509 500 514 522 503 480
1986 509 500 515 523 504 479
1987 507 501 512 523 502 481
1988 505 501 512 521 499 483
1989 504 502 510 523 498 482
1990 500 501 505 521 496 483
1991 499 500 503 520 495 482
1992 500 501 504 521 496 484
1993 500 503 504 524 497 484
1994 499 504 501 523 497 487
1995 504 506 505 525 502 490
1996 505 508 507 527 503 492
1997 505 511 507 530 503 494
1998 505 512 509 531 502 496
1999 505 511 509 531 502 495
2000 505 514 507 533 504 498
2001 506 514 509 533 502 498
2002 504 516 507 534 502 500
2003 507 519 512 537 503 503
2004 508 518 512 537 504 501
2005 508 520 513 538 505 504
2006 503 518 505 536 502 502
2007 501 514 503 532 500 499
2008 500 514 502 532 499 499
2009 499 514 502 533 497 498
2010 500 515 502 533 498 499
2011 497 514 500 531 495 500
2012 496 514 498 532 493 499
2013 496 514 499 531 494 499
2014 497 513 499 530 495 499
2015 495 511 497 527 493 496
2016 494 508 496 524 493 494
2017 533 527 532 538 534 516
2018 536 531 534 542 539 522
2019 531 528 529 537 534 519
2020 528 523 523 531 532 516
2021 533 528 530 537 535 519
2022 529 521 526 530 531 512
2023 520 508 517 515 523 500
2024 519 505 516 514 522 496

In the late nineteenth century, elite colleges and universities had their own entrance exams and they required candidates to travel to the school to take the tests.[10] To better organize matters, the College Board, a consortium of colleges in the northeastern United States, was formed in late 1899 to establish a nationally administered, uniform set of essay tests based on the curricula of the boarding schools that typically provided graduates to the colleges of the Ivy League and Seven Sisters, among others.[11][12] The first College Board exam—covering mathematics, the physical sciences, history, languages, and other subjects—was administered in 1901 to fewer than 1,000 candidates.[10]

In the same time period, Lewis Terman and others began to promote the use of tests such as Alfred Binet's in American schools. Terman in particular thought that such tests could identify an innate "intelligence quotient" (IQ) in a person. The results of an IQ test could then be used to find an elite group of students who would be given the chance to finish high school and go on to college.[11] By the mid-1920s, the increasing use of IQ tests, such as the Army Alpha test administered to recruits in World War I, led the College Board to commission the development of the SAT. The commission, headed by Carl Brigham, argued that the test predicted success in higher education by identifying candidates primarily on the basis of intellectual promise rather than on specific accomplishment in high school subjects, with the specific aim to exclude Black students:[12]

[Brigham] created the test to uphold a racial caste system. He advanced this theory of standardized testing as a means of upholding racial purity in his book A Study of American Intelligence. The tests, he wrote, would prove the racial superiority of white Americans and prevent "the continued propagation of defective strains in the present population"—chiefly, the "infiltration of white blood into the Negro".[13]

By 1930, however, Brigham would repudiate his own conclusions, writing that "comparative studies of various national and racial groups may not be made with existing tests"[14] and that SAT scores could not reflect some innate, genetically-based ability, but instead would be "a composite including schooling, family background, familiarity with English and everything else, relevant and irrelevant."[13] In 1934, James Conant and Henry Chauncey used the SAT as a means to identify recipients for scholarships to Harvard University. Specifically, Conant wanted to find students, other than those from the traditional northeastern private schools, that could do well at Harvard. The success of the scholarship program and the advent of World War II led to the end of the College Board essay exams and to the SAT being used as the only admissions test for College Board member colleges.[11]

The SAT rose in prominence after World War II due to several factors. Machine-based scoring of multiple-choice tests taken by pencil had made it possible to rapidly process the exams.[14] At the time, elite colleges were admitting mainly students from elite private schools and wanted to take in students from other backgrounds.[15] The G.I. Bill produced an influx of millions of veterans into higher education.[14][16] The formation of the Educational Testing Service (ETS) also played a significant role in the expansion of the SAT beyond the roughly fifty colleges that made up the College Board at the time.[17] The ETS was formed in 1947 by the College Board, Carnegie Foundation for the Advancement of Teaching, and the American Council on Education, to consolidate respectively the operations of the SAT, the GRE, and the achievement tests developed by Ben Wood for use with Conant's scholarship exams.[14] The new organization was to be philosophically grounded in the concepts of open-minded, scientific research in testing with no doctrine to sell and with an eye toward public service.[18] The ETS was chartered after the death of Brigham, who had opposed the creation of such an entity. Brigham felt that the interests of a consolidated testing agency would be more aligned with sales or marketing than with research into the science of testing.[14] It has been argued that the interest of the ETS in expanding the SAT in order to support its operations aligned with the desire of public college and university faculties to have smaller, diversified, and more academic student bodies as a means to increase research activities.[11] In 1951, about 80,000 SATs were taken; in 1961, about 800,000; and by 1971, about 1.5 million SATs were being taken each year.[19] As more and more students from all over the U.S. tried to enter college, the SAT became more of a high-stakes exam; colleges needed something they could trust to fairly assess a prospective student's scholastic aptitude.[15]

During the 2010s, there was concern over the continued decline of SAT scores,[20][21] which might be due to the expansion of the test-taking population.[21][22] (See graph below.)

In the wake of Operation Varsity Blues, it came to light that some wealthy parents obtained extra time on the SATs from doctors willing to sign off on false reports for the students.[23][24] Already in the 2000s, concerns over parents obtaining fraudulent mental diagnoses to give their children an unfair advantage had been raised.[25]

Historical average SAT scores of college-bound seniors.
Historical average SAT scores of college-bound seniors.

Timeline

A timeline of notable events in the history of the SAT follows.

1901: College Board begins administering exams

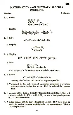
A page from a test booklet; there are six free-response algebra questions, often involving factoring and simplifying algebraic expressions.
The Mathematics A exam of the 1915 College Board examinations.

On June 17, 1901, the first exams of the College Board were administered to 973 students across 67 locations in the United States, and two in Europe. Although those taking the test came from a variety of backgrounds, approximately one third were from New York, New Jersey, or Pennsylvania. The majority of those taking the test were from private schools, academies, or endowed schools. About 60% of those taking the test applied to Columbia University. The test contained sections on English, French, German, Latin, Greek, history, geography, political science, biology, mathematics, chemistry, and physics.[26] The College Board exams, which required essay responses from students and took several days to administer, were graded on a scale with a maximum score of 100. Until 1910, the grades were accompanied by verbal designations: "Excellent" (90-100), "Good" (75-89), "Doubtful" (60-74), "Poor" (40-49) [sic] or "Very Poor" (below 40).[17]: 66 

1926: First SAT administration

A page of analogy questions from the Princeton 1925 test
The analogies sub-test of the Princeton 1925 test

The first administration of the SAT occurred on June 23, 1926, when it was known as the Scholastic Aptitude Test.[27][28] This test, prepared by a committee headed by Princeton psychologist Carl Campbell Brigham, had sections of definitions, arithmetic, classification, artificial language, antonyms, number series, analogies, logical inference, and paragraph reading. Several sections of the SAT were minor revisions of those appearing in a test that Brigham had given to incoming freshman to Princeton University in 1925. For example, sub-test three (analogies) of the Princeton test was used verbatim (except for the ordering of the questions) as the SAT analogies sub-test.[29]: 248  The Princeton test was itself derived from material taken from intelligence tests administered to recruits to the United States Army during World War I. Like many intelligence tests of the time, the non-mathematical questions on the SAT put considerable weight on word definitions and usage.[30] The SAT was administered to 8,040 students (60% of them men) at over 300 test centers. The majority of men were applying to Yale University, University of Pennsylvania, or Princeton University, and the majority of women were applying to Smith College, Wellesley College, or Vassar College.[28][29]: 331  The test was paced rather quickly: test-takers were given 97 minutes to answer 315 questions.[27] The raw score of each participating student was converted to a score scale with a mean of 500 and a standard deviation of 100. This scale was effectively equivalent to a 200 to 800 scale, although students could score more than 800 and less than 200.[14]

1928–1929: Math removal and more changes

In 1928, the number of sections on the SAT was reduced to seven, and the time limit was increased to slightly under two hours. In 1929, the number of sections was again reduced, this time to six. These changes were designed in part to give test-takers more time per question. For these two years, all of the sections tested verbal ability: math was eliminated from the SAT.[27] The test developers, using test score data from 1926 and 1927 to calculate correlations between the various SAT sub-tests, felt that the mathematics sections were measuring a different component of intelligence than the verbal sections, and should be removed to be re-developed later as sub-tests with a score separate from that of the verbal sections.[29]: 351-355 

1930s: Continuous changes

In 1930 the SAT was first split into the verbal and math sections, a structure that would continue until 2005 when a new writing section would be added.[27] The verbal section of the 1930 test covered a more narrow range of content than its predecessors, examining only antonyms (with six possible answer choices), double definitions (filling in two blanks with provided words to best complete a sentence), and paragraph reading. In 1936, analogies were re-added. Between 1936 and 1946, students had between 80 and 115 minutes to answer 250 verbal questions (over a third of which were on antonyms). The mathematics test introduced in 1930 contained 100 free response questions to be answered in 80 minutes and focused primarily on speed. From 1936 to 1941, like the 1928 and 1929 tests, the mathematics section was eliminated. When the mathematics portion of the test was re-added in 1942, it consisted of multiple-choice questions.[27]

1941 and 1942: Standardized score scales introduced

Until 1941, the scores on all SATs had been scaled to a mean of 500 with a standard deviation of 100. Although one test-taker could be compared to another for a given test date, comparisons from one year to another could not be made. For example, a score of 500 achieved on an SAT taken in one year could reflect a different ability level than a score of 500 achieved in another year. By 1940, it had become clear that setting the mean SAT score to 500 every year was unfair to those students who happened to take the SAT with a group of higher average ability.[31]

In order to make cross-year score comparisons possible, in April 1941 the SAT verbal section was scaled to a mean of 500, and a standard deviation of 100, and the June 1941 SAT verbal section was equated (linked) to the April 1941 test. All SAT verbal sections after 1941 were equated to previous tests so that the same scores on different SATs would be comparable. Similarly, in June 1942 the SAT math section was equated to the April 1942 math section, which itself was linked to the 1942 SAT verbal section, and all SAT math sections after 1942 would be equated to previous tests. From this point forward, SAT mean scores could change over time, depending on the average ability of the group taking the test compared to the roughly 10,600 students taking the SAT in April 1941. The 1941 and 1942 score scales would remain in use until 1995.[31][32]

1946: Verbal section changes

Paragraph reading was eliminated from the verbal portion of the SAT in 1946, and replaced with reading comprehension, and "double definition" questions were replaced with sentence completions. Between 1946 and 1957, students were given 90 to 100 minutes to complete 107 to 170 verbal questions. Starting in 1958, time limits became more stable, and for 17 years, until 1975, students had 75 minutes to answer 90 questions. In 1959, questions on data sufficiency were introduced to the mathematics section and then replaced with quantitative comparisons in 1974. In 1974, both verbal and math sections were reduced from 75 minutes to 60 minutes each, with changes in test composition compensating for the decreased time.[27]

1960s and 1970s: Mean scores decline

From 1926 to 1941, scores on the SAT were scaled to make 500 the mean score on each section. In 1941 and 1942, SAT scores were standardized via test equating, and as a consequence, average verbal and math scores could vary from that time forward.[31] In 1952, mean verbal and math scores were 476 and 494, respectively, and scores were generally stable in the 1950s and early 1960s. However, starting in the mid-1960s and continuing until the early 1980s, SAT scores declined: the average verbal score dropped by about 50 points, and the average math score fell by about 30 points. By the late 1970s, only the upper third of test takers were doing as well as the upper half of those taking the SAT in 1963. From 1961 to 1977, the number of SATs taken per year doubled, suggesting that the decline could be explained by demographic changes in the group of students taking the SAT. Commissioned by the College Board, an independent study of the decline found that most (up to about 75%) of the test decline in the 1960s could be explained by compositional changes in the group of students taking the test; however, only about 25 percent of the 1970s decrease in test scores could similarly be explained.[19] Later analyses suggested that up to 40 percent of the 1970s decline in scores could be explained by demographic changes, leaving unknown at least some of the reasons for the decline.[33]

1993: SAT renamed

By the late 1980s, the College Board was considering changes to its testing program[34] and had asked a group of educators and administrators from high schools and colleges to form a commission to review and advise the College Board proposals. In a 1990 report, the commission suggested that the initialism SAT, which up until this time stood for Scholastic Aptitude Test, should be changed to stand for Scholastic Assessment Test because the test could "no longer be accurately described as a test of aptitude".[35][36] In 1993, the College Board changed the name of the test to SAT I: Reasoning Test and changed the name of the Achievement Tests to SAT II: Subject Tests.[37] Together, all of these tests were to be collectively known as the Scholastic Assessment Tests. The president of the College Board at the time said that the name change was meant "to correct the impression among some people that the SAT measures something that is innate and impervious to change regardless of effort or instruction."[38]

1994: Major changes

In early 1994, substantial changes were made to the SAT.[39] Antonyms were removed from the verbal section in order to make rote memorization of vocabulary less useful. Also, the fraction of verbal questions devoted to passage-based reading material was increased from about 30% to about 50%, and the passages were chosen to be more like typical college-level reading material, compared to previous SAT reading passages. The changes for increased emphasis on analytical reading were made in response to a 1990 report issued by a commission established by the College Board. The commission recommended that the SAT should, among other things, "approximate more closely the skills used in college and high school work".[27] A mandatory essay had been considered as well for the new version of the SAT; however, criticism from minority groups, as well as a concomitant increase in the cost of the test necessary to grade the essay, led the College Board to drop it from the planned changes.[40]

An example of an SAT student-produced response ("grid-in") math question (introduced in 1994) and the correctly gridded answer

Major changes were also made to the SAT mathematics section at this time, due in part to the influence of suggestions made by the National Council of Teachers of Mathematics. Test-takers were now permitted to use calculators on the math sections of the SAT. Also, for the first time since 1935, the SAT would now include some math questions that were not multiple choice, and would require students to supply the answers for those questions. According to the College Board, this new question format would be less susceptible to guessing using answer choices and other "back-door" approaches to solving multiple-choice questions. Additionally, some of these "student-produced response" questions could have more than one correct answer. The tested mathematics content on the SAT was expanded to include concepts of slope of a line, probability, elementary statistics including median and mode, and problems involving counting.[27]

1995: Recentering (to raise the mean score back to 500)

By the early 1990s, average combined SAT scores were around 900 (typically, 425 on the verbal and 475 on the math). The average scores on the 1994 modification of the SAT I were similar: 428 on the verbal and 482 on the math.[41] SAT scores for admitted applicants to highly selective colleges in the United States were typically much higher. For example, the score ranges of the middle 50% of admitted applicants to Princeton University in 1985 were 600 to 720 (verbal) and 660 to 750 (math).[42] Similarly, median scores on the modified 1994 SAT for freshmen entering Yale University in the fall of 1995 were 670 (verbal) and 720 (math).[43] For the majority of SAT takers, however, verbal and math scores were below 500: In 1992, half of the college-bound seniors taking the SAT were scoring between 340 and 500 on the verbal section and between 380 and 560 on the math section, with corresponding median scores of 420 and 470, respectively.[44]

The drop in SAT verbal scores, in particular, meant that the usefulness of the SAT score scale (200 to 800) had become degraded. At the top end of the verbal scale, significant gaps were occurring between raw scores and uncorrected scaled scores: a perfect raw score no longer corresponded to an 800, and a single omission out of 85 questions could lead to a drop of 30 or 40 points in the scaled score. Corrections to scores above 700 had been necessary to reduce the size of the gaps and to make a perfect raw score result in an 800. At the other end of the scale, about 1.5 percent of test-takers would have scored below 200 on the verbal section if that had not been the reported minimum score. Although the math score averages were closer to the center of the scale (500) than the verbal scores, the distribution of math scores was no longer well approximated by a normal distribution. These problems, among others, suggested that the original score scale and its reference group of about 10,000 students taking the SAT in 1941 needed to be replaced.[31]

Beginning with the test administered in April 1995, the SAT score scale was recentered to return the average math and verbal scores close to 500. Although only 25 students had received perfect scores of 1600 in all of 1994, 137 students taking the April test scored 1600.[45] The new scale used a reference group of about one million seniors in the class of 1990: the scale was designed so that the SAT scores of this cohort would have a mean of 500 and a standard deviation of 110. Because the new scale would not be directly comparable to the old scale, scores awarded in April 1995 and later were officially reported with an "R" (for example, "560R") to reflect the change in scale, a practice that was continued until 2001.[31] Scores awarded before April 1995 may be compared to those on the recentered scale by using official College Board tables. For example, verbal and math scores of 500 received before 1995 correspond to scores of 580 and 520, respectively, on the 1995 scale.[46]

1995: Controversy over recentering

Certain educational organizations viewed the SAT recentering initiative as an attempt to stave off international embarrassment in regards to continuously declining test scores, even among top students. As evidence, it was presented that the number of pupils who scored above 600 on the verbal portion of the test had fallen from a peak of 112,530 in 1972 to 73,080 in 1993, a 36% backslide, despite the fact that the total number of test-takers had risen by over 500,000.[47]

1997: SAT renamed

After the 1994 changes to the SAT, major news organizations, as well as the president of the College Board, referred to the SAT using the name Scholastic Assessment Test.[48][49][50] However, in the spring of 1997, the College Board announced that the SAT by itself could not properly be called the Scholastic Assessment Test, and that the letters SAT were the trademark and did not stand for anything.[51] At the time, the historian of education Diane Ravitch remarked that "calling [the SAT] the Scholastic Assessment Test is like calling it the Scholastic Test Test".[52] Minor name changes would be made later: In 2004, the Roman numeral in SAT I: Reasoning Test was dropped, making SAT Reasoning Test the name of the SAT,[53] and in 2016 the "Reasoning Test" portion of the name was eliminated when the test was redesigned in 2016.[54]

2002: "Score Choice" discontinued for SAT II tests

Since 1993, using a policy referred to as "Score Choice", students taking the SAT-II subject exams were able to choose whether or not to report the resulting scores to a college to which the student was applying. In October 2002, the College Board dropped the Score Choice option for SAT-II exams, matching the score policy for the traditional SAT tests that required students to release all scores to colleges.[55] The College Board said that, under the old score policy, many students who waited to release scores would forget to do so and miss admissions deadlines. It was also suggested that the old policy of allowing students the option of which scores to report favored students who could afford to retake the tests.[56]

2005: Introduction of an 800-point essay section (leading to a 2400-point score)

In 2005, the test was changed again, largely in response to criticism by the University of California system.[57] In order to have the SAT more closely reflect high school curricula, certain types of questions were eliminated, including analogies from the verbal section and quantitative comparison items from the math section.[27] A new writing section, with an essay, based on the former SAT II Writing Subject Test, was added,[58] in part to increase the chances of closing the opening gap between the highest and midrange scores. The writing section reported a multiple-choice subscore that ranged from 20 to 80 points.[59] Other factors included the desire to test the writing ability of each student; hence the essay. The writing section added an additional maximum 800 points to the score, which increased the new maximum score to 2400.[60] The "New SAT" was first offered on March 12, 2005, after the last administration of the "old" SAT in January 2005. The mathematics section was expanded to cover three years of high school mathematics. To emphasize the importance of reading, the verbal section's name was changed to the Critical Reading section.[27]

2005: Scoring problems of October SATs and subsequent lawsuit

In March 2006, it was announced that a small percentage of the SATs taken in October 2005 had been scored incorrectly due to the test papers being moist and not scanning properly and that some students had received erroneous scores.[61] The College Board announced they would change the scores for the students who were given a lower score than they earned, but at this point many of those students had already applied to colleges using their original scores. The College Board decided not to change the scores for the students who were given a higher score than they earned. A lawsuit was filed in 2006 on behalf of the 4,411 students who received an incorrect score on the SAT.[62] The class-action suit was settled in August 2007, when the College Board and Pearson Educational Measurement, the company that scored the SATs, announced they would pay $2.85 million into a settlement fund. Under the agreement, students could either elect to receive $275 or submit a claim for more money if the damage was greater.[63]

2006: Maine becomes the first state to mandate taking the SAT

In April of 2006, Maine required all high-school juniors in the state to take the SAT as part of a special school day on a Saturday. The SAT was to be used in place of the normal statewide exam used to assess whether students met state standards for graduation. The cost of the SAT was paid for by Maine and offered free to students taking the exam.[64] Within 10 years, the College Board will be offering the SAT on a weekday during the school year (called an "SAT School Day" administration) in participating states, and by 2024 more than two-thirds of the senior class graduating in that year will take the SAT during a school day.[65]

2009: "Score Choice" made available for the SAT

As part of an effort to "reduce student stress and improve the test-day experience", in late 2008 the College Board announced that the Score Choice option, recently dropped for SAT subject exams, would be available for both the SAT subject tests and the SAT starting in March 2009. At the time, some college admissions officials agreed that the new policy would help to alleviate student test anxiety, while others questioned whether the change was primarily an attempt to make the SAT more competitive with the ACT, which had long had a comparable score choice policy.[66] Recognizing that some colleges would want to see the scores from all tests taken by a student, under this new policy, the College Board would encourage but not force students to follow the requirements of each college to which scores would be sent.[67] A number of highly selective colleges and universities, including Yale, the University of Pennsylvania, Cornell, and Stanford, rejected the Score Choice option at the time,[68] but some of them would later participate in the score choice program.[69][70][71]

2012: Increased security introduced at test centers

Beginning in the fall of 2012, test takers were required to submit a current, recognizable photo during registration. In order to be admitted to their designated test center, students were required to present their photo admission ticket—or another acceptable form of photo ID—for comparison to the one submitted by the student at the time of registration. The changes were made in response to a series of cheating incidents, primarily at high schools in Long Island, New York, in which high-scoring test takers were using fake photo IDs to take the SAT for other students.[72] In addition to the registration photo stipulation, test takers were required to identify their high school, to which their scores, as well as the submitted photos, would be sent. In the event of an investigation involving the validity of a student's test scores, their photo may be made available to institutions to which they have sent scores. Any college that is granted access to a student's photo is first required to certify that the student has been admitted to the college requesting the photo.[73]

2016: Redesign of the SAT (notably including a return to a 1600 point scale)

On March 5, 2014, the College Board announced its plan to redesign the SAT in order to link the exam more closely to the work high school students encounter in the classroom.[74] The new exam was administered for the first time in March 2016.[75] Some of the major changes were: an emphasis on the use of evidence to support answers, a shift away from obscure vocabulary to words that students are more likely to encounter in college and career, an optional essay, questions having four rather than five answer options, and the removal of penalty for wrong answers (rights-only scoring).[76][77] The Critical Reading section was replaced with the new Evidence-Based Reading and Writing section (the Reading Test and the Writing and Language Test).[78] The scope of mathematics content was narrowed to include fewer topics, including linear equations, quadratics, and basic trigonometry. The essay score was separated from the final score, and institutions could choose whether or not to consider it. As a result of these changes, the highest score was returned to 1600. These modifications were the first major redesign to the structure of the test since 2005.[79] As the test no longer deducts points for wrong answers, the numerical scores and the percentiles appeared to have increased after the new SAT was unveiled in 2016. However, this does not necessarily mean students came better prepared.[77]

To combat the perceived advantage of costly test preparation courses, the College Board announced a new partnership with Khan Academy to offer free online practice problems and instructional videos.[74]

2019: Introduction and abandonment of the "Adversity Score" and launch of "Landscape"

In May 2019, the College Board announced that it would calculate each SAT taker's "Adversity Score" using factors such as the proportion of students in a school district receiving free or subsidized lunch or the level of crime in that neighborhood. The higher the score, the more adversity the student faced.[80] However, this triggered a backlash from the general public as people were skeptical of how complex information could be conveyed with a single number[80] and were concerned that it might be politically weaponized.[81] The College Board abandoned the Adversity Score in August 2019[82] and created a new tool called "Landscape" to provide the same sort of details to admissions officers using government information but without calculating a score.[80]

2020–2021: Discontinuation of SAT essay and SAT II tests and the impact of COVID-19

In the wake of the COVID-19 pandemic, which made administering and taking the tests difficult, on January 19, 2021, the College Board announced plans to discontinue the optional SAT essay following the June 2021 administration.[83][84] Although the SAT essay was discontinued by the start of the 2021–22 school year for national administrations, the essay continues to be administered in some states as a part of their state-wide SAT school-day testing programs.[85]

While some administrations of the SAT were canceled during the pandemic,[84] others continued with precautionary measures such as requirements of temperature checks, enhanced ventilation, higher ceilings, physical distancing, and face masks.[86] The College Board also announced the immediate discontinuation of the SAT Subject Tests in the United States, and the same internationally after the June 2021 administration.[84]

2024: Change to a digital format

In January 2022, College Board revealed its plan to administer the SAT digitally to American students in 2024 and to students in other countries in 2023. The digital format of the test would simplify logistics and allow scores to be determined in a matter of days rather than weeks. Score reports would also carry information about two-year collegiate programs and vocational training. Students may bring their own laptop or tablet computers but must sit at a designated location; those without a device will be provided with one.

The College Board also announced that the SAT would be shortened to roughly two hours from three, with an onscreen calculator provided for the math section.[87]

On March 9, 2024, the digital version of the SAT was administered nationwide in the United States.[88] The test consists of two sections: Reading and Writing, and Math, with two 32-minute modules for reading and writing (64 minutes total) and two 35-minute modules for math (70 minutes total), making the length of the SAT 2 hours and 14 minutes. In each section, the questions posed in the second module depend on the performance of the student on the questions in the first module.[89] Both math modules allow the use of a calculator: either an onscreen Desmos-based graphing calculator, or a physical one that the student brings.[90]

Notes

References

  1. ^ "Board Revises Entrance Tests; June Examinations Replaced by New Form in April, June, September". The New York Times. January 25, 1942. Retrieved July 30, 2022.
  2. ^ "2024 SAT Suite of Assessments Annual Report" (PDF). College Board. Archived (PDF) from the original on November 16, 2024. Retrieved November 30, 2024.
  3. ^ "Data (SAT Program Participation And Performance Statistics)". College Entrance Examination Board. Archived from the original on February 21, 2014. Retrieved May 5, 2014.
  4. ^ "SAT Suite of Assessments - Reports". College Board. Retrieved October 30, 2022.
  5. ^ "The NCES Fast Facts Tool provides quick answers to many education questions (National Center for Education Statistics)". nces.ed.gov. Retrieved 2023-07-02.
  6. ^ "All About SAT Scores: National Average and Full Statistics | BestColleges". www.bestcolleges.com. Retrieved 2023-07-02.
  7. ^ Alban, Theresa R. (24 Sep 2009). "SAT Results for the Class of 2009" (PDF).
  8. ^ "2005 College Bound Seniors Average SAT Scores - Fairtest". fairtest.org. 2007-08-21. Retrieved 2023-07-02.
  9. ^ "2010 College-Bound Seniors - Total Group Profile Report - TOTAL GROUP" (PDF). The College Board. 2010.
  10. ^ a b Dance, Amber (July 15, 2021). "Has the Pandemic Put an End to the SAT and ACT?". Smithsonian Magazine. Retrieved August 26, 2021.
  11. ^ a b c d Lemann, Nicholas (2004). "A History of Admissions Testing". In Zwick, Rebecca (ed.). Rethinking the SAT: The Future of Standardized Testing in University Admissions. New York: RoutledgeFalmer. pp. 5–14.
  12. ^ a b Crouse, James; Trusheim, Dale (1988). The Case Against the SAT. Chicago: The University of Chicago Press. pp. 16–39.
  13. ^ a b "The Problem with the SAT's Idea of Objectivity". The Atlantic. 18 May 2019. Archived from the original on 2019-11-12. Retrieved 2019-11-12.
  14. ^ a b c d e f Hubin, David R. (1988). The SAT – Its Development and Introduction, 1900–1948 (Ph.D.). University of Oregon.
  15. ^ a b Brangham, William; Yang, John (November 5, 2019). "Why colleges are reconsidering their reliance on standardized tests for admission". PBS Newshour. Retrieved January 25, 2022.
  16. ^ "G.I Bill History and Timeline". Archived from the original on 27 July 2016. Retrieved 28 July 2016.
  17. ^ a b Fuess, Claude (1950). The College Board: Its First Fifty Years. New York: Columbia University Press. Archived from the original on 2017-10-18. Retrieved 2016-08-05.
  18. ^ Bennet, Randy Elliot. "What Does It Mean to Be a Nonprofit Educational Measurement Organization in the 21st Century?" (PDF). Educational Testing Service. Archived (PDF) from the original on 17 July 2011. Retrieved 28 Mar 2015.
  19. ^ a b "On Further Examination: Report of the Advisory Panel on the Scholastic Aptitude Test Score Decline" (PDF). College Entrance Examination Board. 1977. Archived from the original (PDF) on October 18, 2014. Retrieved June 24, 2014.
  20. ^ Anderson, Nick (September 3, 2015). "SAT scores at lowest level in 10 years, fueling worries about high schools". The Washington Post. Retrieved September 17, 2020.
  21. ^ a b Hobbs, Tawnell D. (September 24, 2019). "SAT Scores Fall as More Students Take the Test". The Wall Street Journal. Archived from the original on November 28, 2020. Retrieved February 2, 2021.
  22. ^ Twenge, Jean; Campbell, W. Keith; Sherman, Ryne A. (2019). "Declines in vocabulary among American adults within levels of educational attainment, 1974–2016". Intelligence. 76 (101377): 101377. doi:10.1016/j.intell.2019.101377. S2CID 200037032.
  23. ^ "The Truth About Getting Extra Time on the SAT | Psychology Today". www.psychologytoday.com. Retrieved 2021-10-20.
  24. ^ Wai, Jonathan; Brown, Matt; Chabris, Christopher (2019). "No one likes the SAT. It's still the fairest thing about admissions". The Washington Post. Archived from the original on November 17, 2020. Retrieved February 15, 2021.
  25. ^ Haier, Richard J.; Jung, Rex E. (2008). "Brain Imaging Studies of Intelligence and Creativity: What is the Picture for Education?". Roeper Review. 30 (3): 171–180. doi:10.1080/02783190802199347. S2CID 144517270.
  26. ^ "frontline: secrets of the sat: where did the test come from?: the 1901 college board". Secrets of the SAT. Frontline. Archived from the original on March 4, 2012. Retrieved October 20, 2007.
  27. ^ a b c d e f g h i j Lawrence, Ida; Rigol, Gretchen W.; Van Essen, Thomas; Jackson, Carol A. (2003). "Research Report No. 2003-3: A Historical Perspective on the Content of the SAT" (PDF). College Entrance Examination Board. Archived from the original (PDF) on June 5, 2014. Retrieved June 1, 2014.
  28. ^ a b "frontline: secrets of the sat: where did the test come from?: the 1926 sat". Secrets of the SAT. Frontline. Archived from the original on October 31, 2007. Retrieved October 20, 2007.
  29. ^ a b c Brigham, Carl (1932). A Study of Error. College Entrance Examination Board.
  30. ^ Lemann, Nicholas (2000). The Big Test : The Secret History of the American Meritocracy. Farrar, Straus, and Giroux.
  31. ^ a b c d e Dorans, Neil. "The Recentering of SAT® Scales and Its Effects on Score Distributions and Score Interpretations" (PDF). Research Report No. 2002-11. College Board. Archived (PDF) from the original on May 31, 2014. Retrieved May 30, 2014.
  32. ^ Donlon, Thomas; Angoff, William (1971). Angoff, William (ed.). The College Board Admissions Testing Program: A Technical Report on Research and Development Activities Relating to the Scholastic Aptitude Test and Achievement Tests. New York: College Entrance Examination Board. pp. 32–33. Archived from the original on May 31, 2014. Retrieved May 30, 2014. Available at the Education Resources Information Center [1] Archived 2014-05-31 at the Wayback Machine.
  33. ^ Stedman, Lawrence; Kaestle, Carl (1991). "The Great Test Score Decline: A Closer Look". In Kaestle, Carl (ed.). Literacy in the United States. Yale University Press. p. 132.
  34. ^ "College Board Ponders Changes in College Admission Test". Education Week. October 16, 1988. Archived from the original on August 16, 2022.
  35. ^ Commission on New Possibilities for the Admissions Testing Program (1990). Beyond Prediction. College Entrance Examination Board. p. 9.
  36. ^ Pitsch, Mark (November 7, 1990). "S.A.T. Revisions Will Be Included In Spring '94 Test". Education Week.
  37. ^ "SAT FAQ: Frequently Asked Questions". College Board. Archived from the original on March 25, 2008. Retrieved May 29, 2007.
  38. ^ Jordan, Mary (March 27, 1993). "SAT Changes Name, But It Won't Score 1,600 With Critics". Washington Post.
  39. ^ Honan, William (March 20, 1994). "Revised and Renamed, S.A.T. Brings Same Old Anxiety". The New York Times. Archived from the original on July 8, 2017. Retrieved February 18, 2017.
  40. ^ DePalma, Anthony (November 1, 1990). "Revisions Adopted in College Entrance Tests". The New York Times. Archived from the original on April 17, 2017. Retrieved February 18, 2017.
  41. ^ "Scholastic Assessment Test Score Averages for High-School College-Bound Seniors". National Center for Education Statistics. Archived from the original on May 24, 2014. Retrieved May 23, 2014.
  42. ^ The College Handbook, 1985–86. New York: College Entrance Examination Board. 1985. p. 953.
  43. ^ "Yale University Scholastic Assessment Test (SAT) Scores for Freshmen Matriculants Class of 1980 – Class of 2017". Archived from the original (PDF) on July 14, 2014. Retrieved June 4, 2014.
  44. ^ College-Bound Seniors: 1992 Profile of SAT and Achievement Test Takers. College Entrance Examination Board. 1992. p. 9. Archived from the original on July 14, 2014. Retrieved June 21, 2014. Available at the Education Resources Information Center Archived 2014-07-14 at the Wayback Machine.
  45. ^ Barron, James (July 26, 1995). "When Close Is Perfect: Even 4 Errors Can't Prevent Top Score on New S.A.T." The New York Times. Archived from the original on July 8, 2017. Retrieved February 18, 2017.
  46. ^ "SAT I Individual Score Equivalents". College Entrance Examination Board. Archived from the original on September 1, 2014. Retrieved June 29, 2014.
  47. ^ The Center for Education Reform (August 22, 1996). "SAT Increase – The Real Story, Part II". Archived from the original on July 21, 2011.
  48. ^ Honan, William (March 20, 1994). "Revised and Renamed, S.A.T. Brings Same Old Anxiety". The New York Times. Archived from the original on July 8, 2017. Retrieved February 18, 2017.
  49. ^ Horwitz, Sari (May 5, 1995). "Perfectly Happy With Her SAT; D.C. Junior Aces Scholastic Assessment Test With a 1,600". Washington Post.
  50. ^ Stewart, Donald (January 14, 1995). "Scholastic Assessment Test". Los Angeles Times. Archived from the original on August 25, 2022.
  51. ^ Applebome, Peter (April 2, 1997). "Insisting It's Nothing, Creator Says SAT, Not S.A.T." The New York Times. Archived from the original on April 17, 2017. Retrieved February 18, 2017.
  52. ^ "It's SAT, not S.A.T., and that's that". Tampa Bay Times. April 2, 1997. Archived from the original on August 25, 2022. Retrieved August 25, 2022.
  53. ^ "SAT FAQ: Frequently Asked Questions". College Board. Archived from the original on March 25, 2008. Retrieved May 29, 2007.
  54. ^ "What is the Difference Between the SAT and the PSAT?". College Board. Archived from the original on November 12, 2020. Retrieved March 16, 2021.
  55. ^ Schoenfeld, Jane (May 24, 2002). "College board drops 'score choice' for SAT-II exams". St. Louis Business Journal. Archived from the original on February 12, 2017. Retrieved March 7, 2018.
  56. ^ Zhao, Yilu (June 19, 2002). "Students Protest Plan To Change Test Policy". The New York Times. Archived from the original on March 12, 2018. Retrieved March 7, 2018.
  57. ^ "College Board To Alter SAT I for 2005–06". Daily Nexus. 20 September 2002. Archived from the original on 9 October 2007. Retrieved July 3, 2016.
  58. ^ Lewin, Tamar (June 23, 2002). "New SAT Writing Test Is Planned". The New York Times. Archived from the original on May 5, 2014. Retrieved May 5, 2014.
  59. ^ "Data Layout for SAT and SAT Subject Tests Electronic Score Reports" (PDF). College Board. Retrieved March 25, 2021.
  60. ^ "Understanding the New SAT". Inside Higher Ed. 25 May 2005. Archived from the original on 15 September 2016. Retrieved July 3, 2016.
  61. ^ Arenson, Karen (March 10, 2006). "SAT Errors Raise New Qualms About Testing". The New York Times. Archived from the original on September 1, 2017. Retrieved February 18, 2017.
  62. ^ Arenson, Karen (April 9, 2006). "Class-Action Lawsuit to Be Filed Over SAT Scoring Errors". The New York Times. Archived from the original on October 23, 2014. Retrieved February 18, 2017.
  63. ^ Hoover, Eric (August 24, 2007). "$2.85-Million Settlement Proposed in Lawsuit Over SAT-Scoring Errors". The Chronicle of Higher Education. Archived from the original on September 30, 2007. Retrieved August 27, 2007.
  64. ^ "Maine's 11th-graders take Saturday SAT". Foster's Daily Democrat. April 2, 2006. Archived from the original on February 20, 2025. Retrieved March 26, 2025.
  65. ^ "SAT Participation Continues To Grow As The SAT Suite Successfully Completes Its Transition To Digital Testing". College Board. September 24, 2024. Archived from the original on January 16, 2025. Retrieved March 3, 2025.
  66. ^ Rimer, Sara (December 30, 2008). "SAT Changes Policy, Opening Rift With Colleges". The New York Times. Archived from the original on March 12, 2018. Retrieved March 8, 2018.
  67. ^ "SAT Score Choice". The College Board. 12 January 2016. Archived from the original on March 21, 2018. Retrieved March 7, 2018.
  68. ^ "Cornell Rejects SAT Score Choice Option". The Cornell Daily Sun. 30 November 2001. Archived from the original on April 4, 2012. Retrieved February 13, 2008.
  69. ^ "Standardized Testing Requirements". Cornell University. Archived from the original on February 6, 2020. Retrieved February 23, 2020.
  70. ^ "Testing". University of Pennsylvania. Archived from the original on March 20, 2020. Retrieved February 23, 2020.
  71. ^ "Freshman Application Requirements: Standardized Testing". Stanford University. Archived from the original on February 23, 2020. Retrieved February 23, 2020.
  72. ^ Anderson, Jenny (March 27, 2012). "SAT and ACT to Tighten Rules After Cheating Scandal". The New York Times. Archived from the original on May 29, 2018. Retrieved May 25, 2018.
  73. ^ "Test Security and Fairness". The College Board. Archived from the original on September 6, 2015. Retrieved May 22, 2019.
  74. ^ a b Lewin, Tamar (March 5, 2014). "A New SAT Aims to Realign With Schoolwork". The New York Times. Archived from the original on May 14, 2014. Retrieved May 14, 2014.
  75. ^ "New, Reading-Heavy SAT Has Students Worried". The New York Times. February 8, 2016. Archived from the original on December 1, 2017. Retrieved July 25, 2017.
  76. ^ "Key shifts of the SAT redesign". The Washington Post. March 5, 2014. Archived from the original on May 15, 2014. Retrieved May 14, 2014.
  77. ^ a b Murphy, James S. (May 12, 2016). "How Hard Is the New SAT?". Education. The Atlantic. Archived from the original on October 21, 2020. Retrieved February 22, 2021.
  78. ^ "Overview of the 2016 SAT sections". Manhattan Review. Retrieved March 25, 2021.
  79. ^ Zoroya, Gregg (March 6, 2014). "Sharpen those pencils: The SAT test is getting harder". USA Today. Retrieved February 18, 2021.
  80. ^ a b c Allyn, Bobby (August 27, 2019). "College Board Drops Its 'Adversity Score' For Each Student After Backlash". NPR. Retrieved February 2, 2021.
  81. ^ Rowe, Ian (June 3, 2019). "The College Board's Inclusion of Family Structure Indicators Could Help More Disadvantaged Students". Institute for Family Studies. Retrieved March 6, 2021. Critics have panned the adversity score as a 'bogus [effort] ... to rank students on a one-to-100 pseudoscientific index of oppression,' a 'backdoor to racial quotas,' and an approach that will 'only invite a new quest for victimhood.'
  82. ^ Hartocollis, Anemona (August 27, 2019). "SAT 'Adversity Score' Is Abandoned in Wake of Criticism". The New York Times. Archived from the original on August 31, 2023. Retrieved June 13, 2024.
  83. ^ "An Update on Reducing and Simplifying Demands on Students". The College Board. Retrieved January 20, 2021.
  84. ^ a b c Aspegren, Elinor (January 19, 2021). "Adjusting to 'new realities' in admissions process, College Board eliminates SAT's optional essay and subject tests". USA Today. Archived from the original on February 4, 2021. Retrieved February 5, 2021.
  85. ^ "The SAT Essay: Overview (article)". Khan Academy. Archived from the original on August 7, 2022. Retrieved December 22, 2022.
  86. ^ Romalino, Carly Q. (February 17, 2021). "How SAT testing sites are adapting to COVID restrictions: Lower your mask for an ID check". Education. USA Today. Archived from the original on February 19, 2021. Retrieved March 6, 2021.
  87. ^ Thompson, Carolyn (January 25, 2022). "In major overhaul, SAT exam will soon be taken digitally". PBS Newshour. Retrieved January 25, 2022.
  88. ^ Goldstein, Dana (March 8, 2024). "No More No. 2 Pencils: The SAT Goes Fully Digital". The New York Times. Archived from the original on March 8, 2024. Retrieved March 10, 2024.
  89. ^ "How the SAT is Structured". College Board. Archived from the original on March 6, 2024. Retrieved March 10, 2024.
  90. ^ "Calculators on the SAT". 2024-03-10. Archived from the original on 2024-03-10.

Further reading