Castanospermine

Castanospermine[1][2]
Names
Preferred IUPAC name
(1S,6S,7R,8R,8aR)-Octahydroindolizine-1,6,7,8-tetrol
Identifiers
3D model (JSmol)
ChEBI
ChEMBL
ChemSpider
DrugBank
ECHA InfoCard 100.127.469
EC Number
  • 616-743-4
KEGG
UNII
  • InChI=1S/C8H15NO4/c10-4-1-2-9-3-5(11)7(12)8(13)6(4)9/h4-8,10-13H,1-3H2/t4-,5-,6+,7+,8+/m0/s1 ☒N
    Key: JDVVGAQPNNXQDW-TVNFTVLESA-N ☒N
  • InChI=1/C8H15NO4/c10-4-1-2-9-3-5(11)7(12)8(13)6(4)9/h4-8,10-13H,1-3H2/t4-,5-,6+,7+,8+/m0/s1
    Key: JDVVGAQPNNXQDW-TVNFTVLEBE
  • O[C@H]1CCN2[C@H]1[C@@H](O)[C@H](O)[C@@H](O)C2
Properties
C8H15NO4
Molar mass 189.209 g/mol
Appearance White to off-white solid
Melting point 212 to 215 °C (414 to 419 °F; 485 to 488 K)
Soluble
Hazards
GHS labelling:
GHS07: Exclamation mark
Warning
H302, H312, H332
P261, P264, P270, P271, P280, P301+P312, P302+P352, P304+P312, P304+P340, P312, P322, P330, P363, P501
Except where otherwise noted, data are given for materials in their standard state (at 25 °C [77 °F], 100 kPa).
☒N verify (what is checkY☒N ?)
Infobox references

Castanospermine is an indolizidine alkaloid first isolated from the seeds of Castanospermum australe.[3] It is a potent inhibitor of some glucosidase enzymes[4] and has antiviral activity in vitro and in mouse models.[5]

The castanospermine derivative celgosivir is an antiviral drug candidate that as of 2009 was in development for possible use in treating hepatitis C virus (HCV) infection.[6]

Biosynthesis

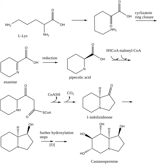
L-Lysine undergoes a transamination to form α-aminoadipic acid. α-Aminoadipic acid undergoes a ring closure and then a reduction to form L-pipecolic acid.[7][8][9]

Biosynthesis of castanospermine - pathway 1: transamination of L-Lys

In the alternate pathway L-Lys cyclizes and forms the enamine, which reduces to L-pipecolic acid.

HSCoA and then malonyl-CoA react in a Claisen reaction with L-pipecolic acid to form SCoA ester which undergoes a ring closure to form 1-indolizidinone. The carbonyl on 1-indolizidinone is reduced to the hydroxyl group. The molecule is then further hydroxylated to form the final product castanospermine.[10]

Figure 2: Biosynthesis of castanospermine - pathway 2: cyclization of L-Lys to form pipecolic acid

See also

References

  1. ^ Merck Index, 11th Edition, 1902.
  2. ^ Castanospermine at Fermentek
  3. ^ Hohenschutz, Liza D.; Bell, E. Arthur; Jewess, Phillip J.; Leworthy, David P.; Pryce, Robert J.; Arnold, Edward; Clardy, Jon (1981). "Castanospermine, a 1,6,7,8-tetrahydroxyoctahydroindolizine alkaloid, from seeds of Castanospermum australe". Phytochemistry. 20 (4): 811–14. Bibcode:1981PChem..20..811H. doi:10.1016/0031-9422(81)85181-3.
  4. ^ R Saul; J J Ghidoni; R J Molyneux & A D Elbein (1985). "Castanospermine inhibits alpha-glucosidase activities and alters glycogen distribution in animals". PNAS. 82 (1): 93–97. Bibcode:1985PNAS...82...93S. doi:10.1073/pnas.82.1.93. PMC 396977. PMID 3881759.
  5. ^ Whitby K, Pierson TC, Geiss B, Lane K, Engle M, Zhou Y, Doms RW, Diamond MS (2005). "Castanospermine, a potent inhibitor of dengue virus infection in vitro and in vivo". J Virol. 79 (14): 8698–706. doi:10.1128/JVI.79.14.8698-8706.2005. PMC 1168722. PMID 15994763.
  6. ^ Durantel, D. (2009). "Celgosivir, an alpha-glucosidase I inhibitor for the potential treatment of HCV infection". Current Opinion in Investigational Drugs. 10 (8): 860–70. PMID 19649930.
  7. ^ Hartmann, Michael; Kim, Denis; Bernsdorff, Friederike; Ajami-Rashidi, Ziba; Scholten, Nicola; Schreiber, Stefan; Zeier, Tatyana; Schuck, Stefan; Reichel-Deland, Vanessa (2017-03-22). "Biochemical Principles and Functional Aspects of Pipecolic Acid Biosynthesis in Plant Immunity". Plant Physiology. 174 (1): 124–153. doi:10.1104/pp.17.00222. ISSN 0032-0889. PMC 5411157. PMID 28330936.
  8. ^ Hartman, Michael (Summer 2018). "Biochemical Principles and Functional Aspects of Pipecolic Acid Biosynthesis in Plant Immunity". Plant Physiology. 174 (1): 124–153. doi:10.1104/pp.17.00222. PMC 5411157. PMID 28330936.
  9. ^ Walsh, Christopher (2017). Natural Product Biosynthesis: Chemical Logic and Enzymatic Machinery. Royal Society of Chemistry. p. 270. ISBN 978-1788010764.
  10. ^ Dewick, Paul (2009). Medicinal Natural Products A Biosynthetic Approach. United Kingdom: Wiley. p. 330. ISBN 978-0-470-74167-2.