Bifonazole

Bifonazole
Clinical data
Trade namesCanespor, many others
AHFS/Drugs.comInternational Drug Names
Routes of
administration
Topical
ATC code
Legal status
Legal status
Identifiers
  • (RS)-1-[Phenyl(4-phenylphenyl)methyl]-1H-imidazole
CAS Number
PubChem CID
DrugBank
ChemSpider
UNII
KEGG
ChEBI
ChEMBL
CompTox Dashboard (EPA)
ECHA InfoCard100.056.651
Chemical and physical data
FormulaC22H18N2
Molar mass310.400 g·mol−1
3D model (JSmol)
ChiralityRacemic mixture
  • n1ccn(c1)C(c3ccc(c2ccccc2)cc3)c4ccccc4
  • InChI=1S/C22H18N2/c1-3-7-18(8-4-1)19-11-13-21(14-12-19)22(24-16-15-23-17-24)20-9-5-2-6-10-20/h1-17,22H checkY
  • Key:OCAPBUJLXMYKEJ-UHFFFAOYSA-N checkY

Bifonazole (trade name Canespor among others[1]) is an imidazole antifungal drug used in form of ointments.

It was patented in 1974 and approved for medical use in 1983.[2] There are also combinations with carbamide for the treatment of onychomycosis.

Adverse effects

The most common side effect is a burning sensation at the application site. Other reactions, such as itching, eczema or skin dryness, are rare.[3] Bifonazole is a potent aromatase inhibitor in vitro.[4][5]

Pharmacology

Mechanism of action

Bifonazole has a dual mode of action. It inhibits fungal ergosterol biosynthesis at two points, via transformation of 24-methylendihydrolanosterol to desmethylsterol, together with inhibition of HMG-CoA. This enables fungicidal properties against dermatophytes and distinguishes bifonazole from other antifungal drugs.[3][6]

Pharmacokinetics

Six hours after application, bifonazole concentrations range from 1000 μg/cm3 in the stratum corneum to 5 μg/cm3 in the papillary dermis.[3]

Synthesis

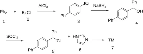
Friedel-Crafts acylation between biphenyl (1) and benzoyl chloride (2) gives 4-phenylbenzophenone (3). Reduction with sodium borohydride gives the alcohol (4). Halogenation by thionyl chloride gives (5). Amination with imidazole (6) completes the synthesis of bifonazole.[7][8][9]

References

  1. ^ International Drug Names: Bifonazole.
  2. ^ Fischer J, Ganellin CR (2006). Analogue-based Drug Discovery. John Wiley & Sons. p. 502. ISBN 9783527607495.
  3. ^ a b c Haberfeld H, ed. (2015). Austria-Codex (in German). Vienna: Österreichischer Apothekerverlag. Canesten Bifonazol-Creme.
  4. ^ Trösken ER, Fischer K, Völkel W, Lutz WK (February 2006). "Inhibition of human CYP19 by azoles used as antifungal agents and aromatase inhibitors, using a new LC-MS/MS method for the analysis of estradiol product formation". Toxicology. 219 (1–3): 33–40. Bibcode:2006Toxgy.219...33T. doi:10.1016/j.tox.2005.10.020. PMID 16330141.
  5. ^ Egbuta C, Lo J, Ghosh D (December 2014). "Mechanism of inhibition of estrogen biosynthesis by azole fungicides". Endocrinology. 155 (12): 4622–4628. doi:10.1210/en.2014-1561. PMC 4239419. PMID 25243857.
  6. ^ Berg D, Regel E, Harenberg HE, Plempel M (1984). "Bifonazole and clotrimazole. Their mode of action and the possible reason for the fungicidal behaviour of bifonazole". Arzneimittel-Forschung. 34 (2): 139–146. PMID 6372801.
  7. ^ US 4118487, Regel E, Draber W, Buchel KH, Plempel M, "Substituted azol-1-ylmethanes", issued 3 October 1978, assigned to Bayer Aktiengesellschaft 
  8. ^ Corelli F, Summa V, Brogi A, Monteagudo E, Botta M (1995). "Chiral Azole Derivatives. 2. Synthesis of Enantiomerically Pure 1-Alkylimidazoles". The Journal of Organic Chemistry. 60 (7): 2008–2015. doi:10.1021/jo00112a023.
  9. ^ Hu Q, Negri M, Jahn-Hoffmann K, Zhuang Y, Olgen S, Bartels M, et al. (August 2008). "Synthesis, biological evaluation, and molecular modeling studies of methylene imidazole substituted biaryls as inhibitors of human 17alpha-hydroxylase-17,20-lyase (CYP17)--part II: Core rigidification and influence of substituents at the methylene bridge". Bioorganic & Medicinal Chemistry. 16 (16): 7715–7727. doi:10.1016/j.bmc.2008.07.011. PMID 18674917.

Further reading